4. P-values for significantly enriched factors

 4.1 Leukemia dataset

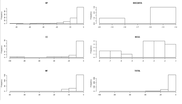
  4.1.1 ALL cluster

  (1) K-means clustering

 

 (2) SVD

(3) PCA

(4) ICA

(5) NMF

(6) SNMF

(7) BSNMF

¡¡

Come back to Main Page

¡¡