Supplementary to

Gene expression profiling of anti-GBM glomerulonephritis model : the role of NF¥êB in immune complex-mediated kidney disease

Figure 1. P-values from both theoretical and empirical distribution are
plotted against the observed F-statisics.


Figure 2. The frequencies of P-values obtained from the 100,800
permutation. The peak around 0.38 comes from the Fiducial probes
spiked onto the array as controls.



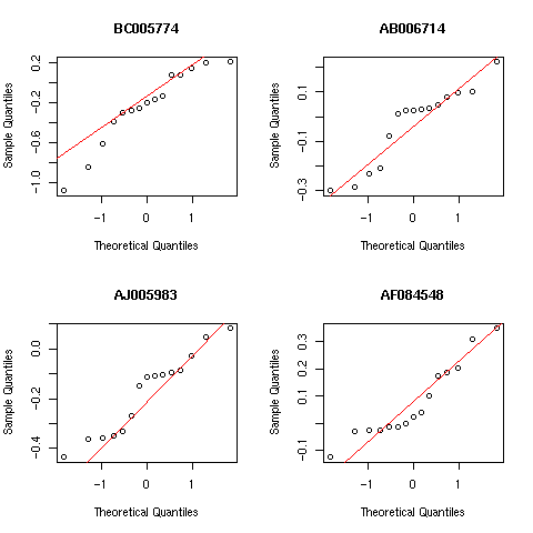
Figure 3. Sample quantiles are plotted against theoretical quantiles for each
probe. Dots are deviated from the theoretical line(red).



Figure 4. False Discovery Rate is plotted against the corresponding number of
rejected probes.